- 什么是指数信号?
解释:我们在中学就知道指数函数
,而我在这里所说的指数信号则是
当a=0时,信号不随时间变化,成为直流信号
当a>0时,信号将随时间增长。 当 a<0时,信号将随时间衰减。
常数K 表示的是指数信号在 t=0点的初始值。
指数a的绝对值大小反映了信号增长或衰减的速度快慢。
指数信号的一个重要特性是:其对时间的微分和积分形式仍为指数形式
通常情况下,把 |a| 的倒数称为指数信号的时间常数,记作
|a| 越大 增长或衰减的速度越快 |a| 越小 增长或衰减的速度越慢 ,即
,
越大,指数信号增长或衰减的速度越慢。
- 什么是复指数信号?
解释:复指数信号是相对于指数信号而言的,当指数信号的指数因子为一复数时,称为复指数信号,其表示式为:
,其中
所以说:
- 什么是正弦信号?
解释:首先我们知道在数学中,有余弦函数与正弦函数之分,但是对于余弦信号与正弦信号而言,它们之间的相位仅相差
,所以我们在信号与系统中,基本上都统称为正弦信号,所以我们在该书中基本上看到余弦信号也被称为正弦信号。
其表达式为
,其中 A 为振幅,
是角频率,
为初相位。其波形如下图所示:
除此之外,我们在信号与系统中还遇到一些衰减的正弦信号,如下图所示:
其表示式为:
![]()
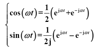
正弦信号与余弦信号可以借助复指数信号来表示。根据欧拉公式可以知道:
所以可以得出:
- 什么是 Sa(t) 函数(抽样函数)?
解释:Sa(t) 函数即 Sa(t) 信号是指 sint 与t之比构成的函数,定义如下:
函数的性质有:
Sa(-t) = Sa(t) 为偶函数
与 Sa(t)函数类似的是 Sinc(t)函数,其表示式为:
有些书中将两种符号通用,即Sa(t)也可以用 Sinc(t)表示。
- 什么是钟形信号(高斯函数) ?
解释:钟形信号(高斯函数)的定义是:
波形如图所示:








