算法设计相关编程题

1.百鸡问题扩展-N鸡问题
问题描述
N元钱买N只鸡,公鸡每只5元,母鸡每只3元,小鸡1元3只,N元钱必须刚好买N只鸡,而且鸡必须整只买,不能劈开买。
有几种买法呢?这就是N鸡问题。

输入在一行中输入一个正整数N。(N<500)
输出在一行中输出两个整数c s,中间用一个空格隔开,表示N元钱买N只鸡共有 c 种买法,且所有买法的公鸡数量之和是 s。如果无解,则 s 为 -1.

输入样例1:
100
输出样例1:
4 24

import java.util.Scanner;

public class Main {
	public static void main(String[] args) {
		Scanner in=new Scanner(System.in);
		int n=in.nextInt();
		//定义公鸡,母鸡,小鸡数量
		int x,y,z;
		int w[]=new int[n/5];
		int count=0;
		int temp=0;
		for(x=0;x<=n/5;x++) {
			for(y=0;y<=n/3;y++) {
				z=n-x-y;
				if((z%3==0)&&(5*x+3*y+z/3==n)) {
					//System.out.println("公鸡数量"+x+",母鸡数量"+y+",小鸡数量"+z);
					temp+=x;
					count++;	
				}
			}
		}
		if(count==0) {
			temp=-1;
			System.out.println(count+" "+temp);
		}else {
			System.out.println(count+" "+temp);
		}
    }
}

2.统计数字问题
问题描述
一本书的页码从自然数1 开始顺序编码直到自然数n。书的页码按照通常的习惯编排,每个页码都不含多余的前导数字0。数字计数问题要求对给定书的总页码n(<=200000),计算出书的全部页码中分别用到多少次数字0,1,2,…,9。

输入只有1行,给出表示书的总页码整数n。
输出共有10行,在第k行输出页码中用到的数字k-1的次数,k=1,2,3,…,10
输入样例:
输入示例。例如:
11
输出样例:
输出示例。例如:
1
4
1
1
1
1
1
1
1
1

代码如下:

import java.util.*;

public class Main {
    public static void main(String[] args) {
        Scanner cin = new Scanner(System.in);
        int a[] = new int[15],x;
        int n,i;
        n = cin.nextInt();
        for(i=1;i<=n;i++)
        {
            x = i;
            while(x!=0)
            {
                a[x%10]++;
                x /= 10;
            }
        }
        for(i=0;i<=9;i++)
            System.out.println(a[i]);
        cin.close();
    }
}

3.计算斐波那契数列第n项的值
问题描述:
斐波那契数列(Fibonacci Sequence),又称黄金分割数列,指的是这样一个数列:1、1、2、3、5、8、13、21、……。在数学上,斐波纳契数列以递推的方法定义为:F(1)=1,F(2)=1,F(n)=F(n-1)+F(n-2)(n≥2,n∈N)。计算斐波那契数列第n项的值。

输入格式:
输入一个大于等于1,小于等于60的整数n。

输出格式:
输出第n项的数列值,数列值为double类型,不输出小数位数。

输入样例1:
20
输出样例1:
6765

代码如下:

import java.text.DecimalFormat;
import java.util.ArrayList;
import java.util.List;
import java.util.Scanner;


public class Main {
    public  static int f(int x) {
		if(x==1 ||x==2) {
			return 1;
		}else {
			return f(x-1)+f(x-2);
		}
	}
	public static void main(String[] args) {
		Scanner sc = new Scanner(System.in);
		
		int n = sc.nextInt();
		double num;
		num=f(n);

		DecimalFormat  formatDouble = new DecimalFormat("#"); //表示格式化为保留小数后六位
		System.out.println(formatDouble.format(num));
    }
}

4.按字典顺序输出n个数的全排列
问题描述:
请编写程序输出前n个正整数的全排列(n<10),并通过9个测试用例(即n从1到9)观察n逐步增大时程序的运行时间。

输入格式:
给出一个正整数n(<10)。

输出格式:
输出1到n的全排列。每种排列占一行,数字间无空格。排列的输出顺序为字典序,即序列 在这里插入图片描述

排在
在这里插入图片描述
​​ 之前,如果存在k使得a​1​​ =b​1,⋯,a​k​=b​k​​ 并且 在这里插入图片描述

输入样例:
3
输出样例:
123
132
213
231
312
321

代码如下:


#include<stdio.h>
#include<string.h>
int a[10];
int book[10];
int n;
void dfs(int step)
{
    int i,j,x,k;
    k=step;
    int next[11]={0,1,2,3,4,5,6,7,8,9,10};
    if(step==n)
    {
        for(i=0;i<step;i++)
        {
            printf("%d",a[i]);
        }
        printf("\n");
        return ;
    }
    for(i=1;i<=n;i++)
    {
        x=next[i];
        if(!book[x])
        {
            a[step]=x;
            book[x]=1;
            dfs(k+1);
            book[x]=0;
        }
    }
}
int main()
{
    scanf("%d",&n);
    memset(book,0,sizeof(book));
    dfs(0);
    return 0;
}

5.计算Ackerman函数
问题描述:
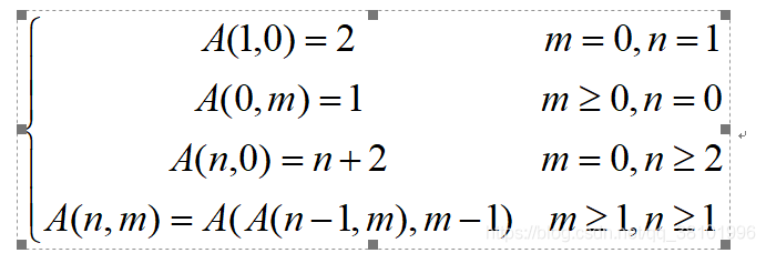
有两个整型变量m、n,Ackerman函数A(n,m)定义如下:
在这里插入图片描述
值,计算Ackerman函数A(n,m)的值。

输入格式:
在一行中输入2个正整数A和B,并用空格分隔。

输出格式:
输出Ackerman函数值。

输入样例:
3 2
输出样例:
8

代码如下:

import java.util.Scanner;
 
/*Ackerman函数的递归实现算法。
	输入:输入两个数字,先输入n,后输入m。
	输出:Ackerman函数计算后的值。
	示例:输入:4    2,输出:16
	Ackerman函数A(n,m)定义如下:
	有两个独立的整型变量m、n:
	当m=0,n=1时,A(1,0)=2;
	当m>=0,n=0时,A(0,m)=1;
	当m=0,n>=2时,A(n,0)=n+2;
	当m>=1&& n>=1时,A(n,m)=A(A(n-1,m),m-1);
*/
 
public class Main {
	public static int ackerman(int n, int m) {
		int k=0;
        if (m == 0 && n == 1) {
			return 2;
		}
		if (m >= 0 && n == 0) {
			return 1;
		}
		if (m == 0 && n >= 2) {
			return n + 2;
		}
		 if(m>=1&&n>=1){
             k=ackerman(ackerman(n-1,m),m-1);
         } 
         return k;

	}
 
	public static void main(String args[]) {
		Scanner sc = new Scanner(System.in);
		int n = sc.nextInt();
		int m = sc.nextInt();
		System.out.println(ackerman(n,m));
	}
}

6.汉诺(Hanoi)塔问题
古代某寺庙中有一个梵塔,塔内有3个座A、B和C,座A上放着64个大小不等的盘,其中大盘在下,小盘在上。有一个和尚想把这64 个盘从座A搬到座B,但一次只能搬一个盘,搬动的盘只允许放在其他两个座上,且大盘不能压在小盘上。现要求用程序模拟该过程,输入一个正整数n,代表盘子的个数,编写函数
void hanoi(int n,char a,char b,char c)
其中,n为盘子个数,从a座到b座,c座作为中间过渡,该函数的功能是输出搬盘子的路径。

输入格式:
输入在一行中给出1个正整数n。

输出格式:
输出搬动盘子路径。

输入样例:
3
输出样例:
a–>b
a–>c
b–>c
a–>b
c–>a
c–>b
a–>b

代码如下:

import java.util.Scanner;


public class Main {
    public static  void hanoi(int n,char a,char b,char c) {
		if(n==1) {
			System.out.printf("%c-->%c",a,c);
			System.out.println();
		}else {
			hanoi(n-1,a,c,b);
			System.out.printf("%c-->%c",a,c);
			System.out.println();
			hanoi(n-1,b,a,c);
		}
	}
    public static void main(String[] args) {
		Scanner sc = new Scanner(System.in);
		
		int n = sc.nextInt();
		char a='a';
		char b='b';
		char c='c';
		hanoi(n,a,c,b);
    }
}

7.众数问题
给定含有n个元素的多重集合S,每个元素在S中出现的次数称为该元素的重数。一般来说,多重集S中重数最大的元素为众数。例如,S={1,2,2,2,3,5},S的众数是2,其重数为3。但是,如果有两个或两个以上的数出现次数都是最多的,那么这几个数都是这组数据的众数。例如:1,2,2,3,3,4的众数是2和3,并按众数在集合中出现的先后次序输出。如果所有数据出现的次数都一样,那么这组数据没有众数。例如:1,2,3,4,5没有众数。 对于给定的由n(n<2000)个自然数组成的多重集S,计算S的众数及其重数。

输入格式:
输入在一行中给出多重集S中的元素个数n;在接下来的n行中,每行有一个自然数。

输出格式:
有众数输出有2行,第1行是众数,第2行是重数。 无众数输出字符串"no mode."

输入样例1:
输入样例如下:

6
1
2
2
2
3
5
输出样例1:
输出样例如下:
2
3

代码如下:

#include<stdio.h>

int main() {
	int S[2000]= {0};
	int value[2000]= {0};
	int num[2000]= {0};
	int n,i,j;
	int k=0;
	int max_num;
	scanf("%d",&n);
	for(i =0; i<n; i++ ) {
		scanf("%d",&S[i]);
	}
	value[0]=S[0];
	for(i =0; i<n; i++) {
		int flag=0;
		for(j=0; j<=k; j++) {
			if(S[i]==value[j]) {
				num[j]++;
				flag =1;
			}
		}
		if(flag ==0) {
			k++;
			value[k]=S[i];
			num[k]++;
			flag = 0;
		}
	}
	max_num =num[0];
	for (i=1; i<=k; i++) {
		if(num[i]>max_num)
			max_num=num[i];
	}
	int xx=-1;
	for(i=0; i<=k; i++) {
		if(num[i]==max_num)
			xx++;
	}
	if(xx==k) {
		printf("no mode.");
		return 0;
	}
	int s = 0;
	for (i = 0; i<=k; i++) {
		if(num[i]==max_num) {
			if(s) putchar(' ');
			s = 1;
			printf("%d",value[i]);
		}
	}
	printf("\n%d",max_num);
	return 0;
}

8.A乘以B
从键盘输入任意两个整数A与B,位数15<n<100,采用Karatsuba’s algorithm计算其乘积.

输入格式:
输入给出2个位数在15和100之间的整数A和B,两数之间换行。

输出格式:
对每一组输入,输出A乘以B的值。

输入样例:
在这里给出一组输入。例如:

168746315641347979798909
164681654767446887797451316158
输出样例:
在这里给出相应的输出。例如:

27789422495727090869081808600903846422197378222471622

代码如下:

#include<stdio.h>

#include<string.h>

const int maxn = 1010;

char a[1010], b[1010];

int aa[1010], bb[1010], c[2020];

int main()

{
	int i, j;

	while (scanf("%s %s", a, b) != EOF)

	{
		if (a[0] == '0' || b[0] == '0')
		{
			printf("0\n");continue;
		}

		memset(c, 0, sizeof(c));

		int l1 = strlen(a), l2 = strlen(b);

		for (i = 0;i < l1;i++)

			aa[i] = a[l1 - i - 1] - '0';

		for (i = 0;i < l2;i++)

			bb[i] = b[l2 - i - 1] - '0';

		for (i = 0;i < l1;i++)

		{


			for (j = 0;j < l2;j++)

			{

				c[i + j] = aa[i] * bb[j] + c[i + j];

				c[i + j + 1] = c[i + j + 1] + c[i + j] / 10;

				c[i + j] = c[i + j] % 10;

			}

		}

		i = l1 + l2;

		while (!c[i]) i--;

		for (;i >= 0;i--)

			printf("%d", c[i]);

		printf("\n");

	}

	return 0;
}

版权声明:本文为qq_38101996原创文章,遵循 CC 4.0 BY-SA 版权协议,转载请附上原文出处链接和本声明。