《模拟电子技术基础》课程笔记(八)——经典放大电路分析

一、静态工作点稳定电路

分压式偏置电路

1.电路组成

2.静态与动态分析

二、放大电路的三种基本组态

(一)共集电极放大电路

1.静态工作点

2.电流放大倍数

3.电压放大倍数

结论:电压放大倍数恒小于1,而接近于1,且输出电压与输入电压同相,又称射极跟随器。

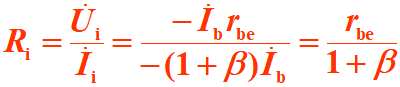
4.输入电阻

5.输出电阻

(二)共基极放大电路

1.静态工作点

2.电流放大倍数

由于 α 小于 1 而近似等于 1 ,所以共基极放电电路没有电流放大作用。

3.电压放大倍数

共基极放大电路没有电流放大作用,但是 具有电压放大作用 。电压放大倍数与共射电路相等,但没有负号,说明该电路 输入、输出信号同相位。

4.输入电阻

不考虑R(e)电阻

5.输出电阻

不考虑R(e)电阻

三种基本组态的比较

场效应管放大电路

场效应管的特点:

1. 场效应管是电压控制元件;

2. 栅极几乎不 取用电流 ,输入电阻非常高;

1.共源极放大电路

一、静态分析

两种方法:近似估算法和图解法

(一)近似估算法

(二)图解法

二、动态分析

1.微变等效电路

2.共源极放大电路的动态性能

分压自偏压式共源放大电路

一、静态分析

二、动态分析

共漏极放大电路——源极输出器或源极跟随器


版权声明:本文为qq_53649853原创文章,遵循 CC 4.0 BY-SA 版权协议,转载请附上原文出处链接和本声明。