隐马尔科夫模型(HMM)

目录

1.隐马尔科夫模型求解步骤(其它大部分模型也均遵循如下路径)

2. HMM定义

2.1 HMM的两个基本性质

2.2 HMM的确定 ​

3. HMM的三个基本问题

3.1 概率计算问题

3.1.1直接计算(暴力算法)

3.1.2前向算法和后向算法

3.2 参数估计/学习

3.2.1若训练数据包括观测序列和状态序列,则HMM的学习非常简单,是监督学习

3.2.2若训练数据只有观测序列,则HMM的学习需要使用EM算法,是非监督学习

3.3 模型的预测

3.3.1预测的近似算法

3.3.2 Viterbi算法

4. HMM的应用——中文分词

5. HMM总结

6.GMHMM

7. 参考文献 ​


隐马尔科夫模型,Hidden Markov Model,缩写HMM

1.隐马尔科夫模型求解步骤(其它大部分模型也均遵循如下路径)

概率计算

参数估计

模型预测

这里以logistic回归为例,具体说一下以上三个过程

2. HMM定义

(1)隐马尔科夫模型可用于标注问题,在语音识别,NLP,生物信息,模式识别等领域被实践证明是有效的算法。

(2)HMM是关于时序的概率模型,描述由一个隐藏的马尔科夫链生成不可观测的状态随机序列,再由各个状态生成观测随机序列的过程。

(3)隐马尔科夫模型随机生成的状态随机序列,称为状态序列;每个状态生成的一个观测,由此产生的观测随机序列,称为观测序列。

序列的每个位置可看作是一个时刻。

其中,在z1,z2不可观察的前提下,x1和z2不独立,x1和x2也不独立,即观测序列x1,x2,……xn是结构化的。结构化的空间连续或时间连续的数据,就可以尝试使用HMM。

2.1 HMM的两个基本性质

假设状态序列为: ,观测序列为

2.2 HMM的确定

HMM可以用三元符号表示 ,称为HMM三要素:

3. HMM的三个基本问题

3.1 概率计算问题

3.1.1直接计算(暴力算法)

3.1.2前向算法和后向算法

定义前向概率——后项概率

(1)前向算法

(2)后向算法

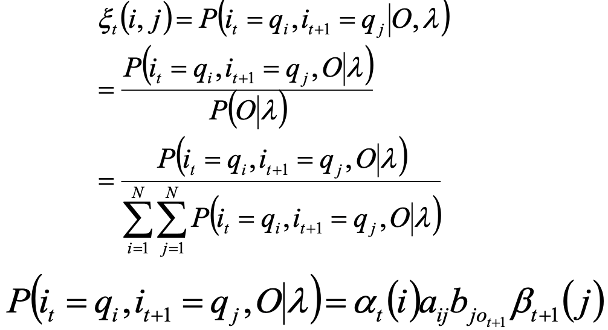
(3)前向后向概率的关系

单个状态的概率

两个状态的联合概率

3.2 参数估计/学习

3.2.1若训练数据包括观测序列和状态序列,则HMM的学习非常简单,是监督学习

大数定理

假设已给定训练数据包含S个长度相同的观测序列和对应的状态序列{(O1,I1), (O2,I2), ……(O3,I3)}, 那么可以直接利用Bernoulli大数定理的结论“频率的极限是概率”,给出HMM的参数估计。

3.2.2若训练数据只有观测序列,则HMM的学习需要使用EM算法,是非监督学习

3.3 模型的预测

求出参数 λ ,有观测值o,求隐变量。

3.3.1预测的近似算法

3.3.2 Viterbi算法

Viterbi算法实际是用动态规划解HMM预测问题,用DP求概率最大的路径(最优路径),这是一条路径对应一个状态序列。

定义变量 δ t (i) :在时刻t状态为i的所有路径中,概率的最大值。

4. HMM的应用——中文分词

状态序列{Begin, Middle, End, single}, 表示的意思分别是一个词的开始,中间,结束,但字成词。

观测序列{0,1,2,……65535}表示共有0——65535个字

可以用如下已经分词好的文章,计算 λ=(π,A,B) , 训练数据包括观测序列和状态序列,用大数定理计算参数

注意1: 防止概率越乘越小,导致下溢出,故使用对数来解决这个问题

初始概率: ,同理,转移概率和观测概率也均需求对数。

以上可叫做对数正则。

注意2: Pi 只要统计一句话的第一个字。且一句话的第一个字肯定不是Middle 和 End,只有可能是Begin 和single。

5. HMM总结

(1)马尔科夫模型可以用来同意解释贪心法和动态规划

(2)HMM解决标注问题,在语音识别,NLP,生物信息,模式识别等领域被广泛应用。

思考:可否使用深度学习代替HMM

思考:如果观测状态是连续值,可否将多项分布改成高斯分布或者混合高斯分布。

(3) HMM是一个生成模型

6.GMHMM

HMM要求和状态序列是离散的,观测值不要求是离散,若观测值连续,且符合高斯分布,则——>高斯分布隐马尔科夫模型。

7. 参考文献


版权声明:本文为zhao_crystal原创文章,遵循 CC 4.0 BY-SA 版权协议,转载请附上原文出处链接和本声明。