(参考文献:Quantum Bridge Analytics I: a tutorial on formulating and using QUBO models)
一般形式
The Quadratic Unconstrained Binary Optimization model (QUBO)![]()
根据二元的特性,可以将线性部分转化为二次部分
The linear part can be transformed into the quadratic part by this equation
![]()
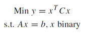
对于有约束的优化问题,可以引入激活函数
As for constrained models, can introduce quadratic penalties

对于penalty value的取值
For the selection of penalty value, a penalty value that is too large can impede the solution process as the penalty terms overwhelm the original objective function information, making it difficult to distinguish the quality of one solution from another. On the other hand, a penalty value that is too small jeopardizes the search for feasible solutions. Taking P to be some percentage (75–150%) of this estimate is often a good place to start. For problems with a linear objective function, the scalar P (with respect to transformation#2) can be chosen as small as the largest objective function coefficient.
等式约束
A general purpose approach


不等式约束——引入松弛变量
As for problems with inequality constraints, we can always be put in this form by including slack variables and then representing the slack variables by a binary expansion.