【题目】:
一条包含字母 A-Z 的消息通过以下映射进行了 编码 :
‘A’ -> “1”
‘B’ -> “2”
…
‘Z’ -> “26”
要 解码 已编码的消息,所有数字必须基于上述映射的方法,反向映射回字母(可能有多种方法)。例如,“11106” 可以映射为:
“AAJF” ,将消息分组为 (1 1 10 6)
“KJF” ,将消息分组为 (11 10 6)
注意,消息不能分组为 (1 11 06) ,因为 “06” 不能映射为 “F” ,这是由于 “6” 和 “06” 在映射中并不等价。
给你一个只含数字的 非空 字符串 s ,请计算并返回 解码 方法的 总数 。
题目数据保证答案肯定是一个 32 位 的整数。
示例 1:
输入:s = “12”
输出:2
解释:它可以解码为 “AB”(1 2)或者 “L”(12)。
示例 2:
输入:s = “226”
输出:3
解释:它可以解码为 “BZ” (2 26), “VF” (22 6), 或者 “BBF” (2 2 6) 。
示例 3:
输入:s = “0”
输出:0
解释:没有字符映射到以 0 开头的数字。
含有 0 的有效映射是 ‘J’ -> “10” 和 ‘T’-> “20” 。
由于没有字符,因此没有有效的方法对此进行解码,因为所有数字都需要映射。
【解题】:
边界条件:
f[0] = 1,解码前0个数的方案数为1。
为什么解码前0个数的方案数是1?
f[0]代表前0个数字的方案数,这样的状态定义其实是没有实际意义的,但是f[0]的值需要保证边界是对的,即f[1]和f[2]是对的。
通过画dp图,可得到dp要初始化n+1个,因为包含了一个空的字符。动态规划基本上都要有个空的开头

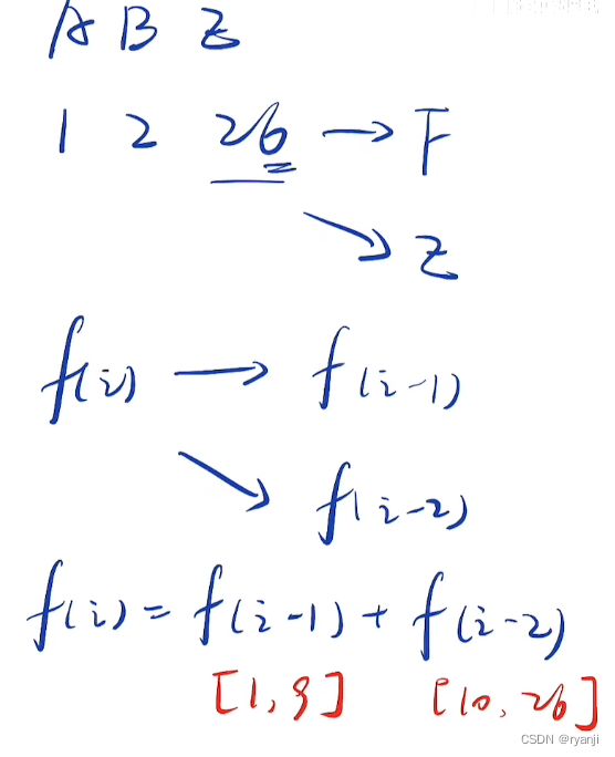
利用动态规划解题,与爬楼梯类似,只是有约束条件。
#include<iostream>
#include<vector>
using namespace std;
int numDecodings2(string s) {
int n = s.size();
vector<int> f(n + 1);//初始化都是0
f[0] = 1; // 边界条件
for (int i = 1; i <= n; i++) {
if (s[i - 1] != '0') f[i] = f[i - 1]; //单独解码s[i - 1],如果不为0,则肯定有一种解法
if (i >= 2) {
int t = (s[i - 2] - '0') * 10 + s[i - 1] - '0';
if (t >= 10 && t <= 26) f[i] += f[i - 2]; //将s[i - 2] 和 s[i - 1]组合解码
}
}
return f[n];
}
int main() {
string str = "2006";
cout << numDecodings2(str);
}
版权声明:本文为ryanji原创文章,遵循CC 4.0 BY-SA版权协议,转载请附上原文出处链接和本声明。