没学好矩阵代数的估计范数也不是太清楚,当然学好的人也不是太多。
范数主要是对矩阵和向量的一种描述,有了描述那么“大小就可以比较了”,从字面理解一种比较构成规范的数。有了统一的规范,就可以比较了。
例如:1比2小我们一目了然,可是(3,5,3)和(6,1,2)哪个大?不太好比吧
2范数比:根号(43)比根号(41)大,因此2范数对比中(3,5,3)大
无穷范数比:5比6小,因此无穷范数对比中(6,1,2)大
矩阵范数:描述矩阵引起变化的大小,AX=B,矩阵X变化了A个量级,然后成为了B。
向量范数:描述向量在空间中的大小。
更一般地可以认为范数可以描述两个量之间的距离关系。
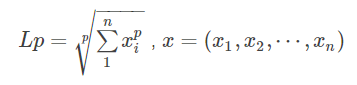
向量范数的通用公式为L-P范数
记住该公式其他公式都是该公式的引申。
L-0范数:用来统计向量中非零元素的个数。
L-1范数:向量中所有元素的绝对值之和。可用于优化中去除没有取值的信息,又称稀疏规则算子。
L-2范数:典型应用——欧式距离。可用于优化正则化项,避免过拟合。
L-∞范数:计算向量中的最大值。
这里为了更进一步地理解范数,我们需要知道它到底是用来干啥的。
数学——很多的时候是用来解决对应关系的。比如数据通过一个函数和一个空间中的面或者体产生了对应,而为了便于研究对应关系,单纯地利用函数就不具有普遍性了,这里引出了集合和映射的概念。
集合 映射 集合(这就构成了一个完美的对应关系)
也就引出了范数的意义。
集合的大小:向量的范数
映射引起集合变化大小的度量:矩阵的范数
这里没写矩阵范数的表达式,理解了范数的概念和用途再看矩阵范数也就不难理解了。
在这方面写的比较好的再推荐两篇
https://blog.csdn.net/yangpan011/article/details/79461846
https://blog.csdn.net/shijing_0214/article/details/51757564