目录
- 一元函数到多元函数的牛顿迭代法
- python代码实现过程
一元函数到多元函数的牛顿迭代法
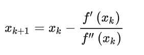
一元函数的牛顿迭代公式:
多元函数的牛顿迭代公式:
其中Hession矩阵为:
python代码实现过程
- 计算梯度函数
使用了sympy库的diff函数计算导数,再代入具体数值进行计算,返回X处的梯度grad
# 求解梯度值
def get_grad(f, X):
# 计算一阶导数
f1 = diff(f, x1)
f2 = diff(f, x2)
# 代入具体数值计算
grad = np.array([[f1.subs([(x1, X[0]), (x2, X[1])])],
[f2.subs([(x1, X[0]), (x2, X[1])])]])
return grad
- 计算Hession矩阵函数
同样使用diff函数计算二次偏导,组成Hession矩阵(里面的括号、中括号要盯对清楚)
# 求解Hession矩阵
def get_hess(f, X):
# 计算二次偏导
f1 = diff(f, x1)
f2 = diff(f, x2)
f11 = diff(f,x1,2)
f22 = diff(f,x2,2)
f12 = diff(f1,x2)
f21 = diff(f2,x1)
# 计算具体数值计算
hess = np.array([[f11.subs([(x1,X[0]), (x2,X[1])]),
f12.subs([(x1,X[0]), (x2,X[1])])],
[f21.subs([(x1,X[0]), (x2,X[1])]),
f22.subs([(x1,X[0]), (x2,X[1])])]])
# 转换数值类型为了后续求逆矩阵
hess = np.array(hess, dtype = 'float')
return hess
- 牛顿迭代过程
迭代公式里使用的是Hession矩阵的逆,所以还要求个逆
# 牛顿迭代
def newton_iter(X0, err):
# 记录迭代次数
count = 0
X1 = np.array([[0],[0]])
while True:
# 得到两次迭代结果差值
X2 = X0 - X1
if sqrt(X2[0]**2 + X2[1]**2) <= err:
break
else:
hess = get_hess(f, X0)
# 得到Hession矩阵的逆
hess_inv = np.linalg.inv(hess)
grad = get_grad(f, X0)
X1 = X0 #保存上次迭代结果
# 迭代公式
X0 = X1 - np.dot(hess_inv, grad)
count += 1
print('第',count,'次迭代:','x1=',X0[0],'x2=',X0[1])
print('迭代次数为:',count)
print('迭代结果为',X0)
全部代码如下
请使用1.4版本的sympy
from sympy import *
import numpy as np
# 定义符号
x1,x2 = symbols('x1, x2')
# 定义所求函数
f = 60 - 10*x1 - 4*x2 + x1**2 + x2**2 - x1*x2
# 求解梯度值
def get_grad(f, X):
# 计算一阶导数
f1 = diff(f, x1)
f2 = diff(f, x2)
# 代入具体数值计算
grad = np.array([[f1.subs([(x1, X[0]), (x2, X[1])])],
[f2.subs([(x1, X[0]), (x2, X[1])])]])
return grad
# 求解Hession矩阵
def get_hess(f, X):
# 计算二次偏导
f1 = diff(f, x1)
f2 = diff(f, x2)
f11 = diff(f,x1,2)
f22 = diff(f,x2,2)
f12 = diff(f1,x2)
f21 = diff(f2,x1)
# 计算具体数值计算
hess = np.array([[f11.subs([(x1,X[0]), (x2,X[1])]),
f12.subs([(x1,X[0]), (x2,X[1])])],
[f21.subs([(x1,X[0]), (x2,X[1])]),
f22.subs([(x1,X[0]), (x2,X[1])])]])
# 转换数值类型为了后续求逆矩阵
hess = np.array(hess, dtype = 'float')
return hess
# 牛顿迭代
def newton_iter(X0, err):
# 记录迭代次数
count = 0
X1 = np.array([[0],[0]])
while True:
# 得到两次迭代结果差值
X2 = X0 - X1
if sqrt(X2[0]**2 + X2[1]**2) <= err:
break
else:
hess = get_hess(f, X0)
# 得到Hession矩阵的逆
hess_inv = np.linalg.inv(hess)
grad = get_grad(f, X0)
X1 = X0 #保存上次迭代结果
# 迭代公式
X0 = X1 - np.dot(hess_inv, grad)
count += 1
print('第',count,'次迭代:','x1=',X0[0],'x2=',X0[1])
print('迭代次数为:',count)
print('迭代结果为',X0)
# 设置初始点
X0 = np.array([[1],[1]])
err = 1e-10
newton_iter(X0, err)
版权声明:本文为qq_45726331原创文章,遵循CC 4.0 BY-SA版权协议,转载请附上原文出处链接和本声明。