一阶系统的单位阶跃响应
一阶系统 一阶系统的微分方程为: 传递函数为: 单位阶跃响应的拉普拉斯变换为: 单位阶跃响应为: 响应曲线: 性能描述: 由于c(t)的终值为1,因而系统阶跃输入时的稳态误差为零。
阶跃
一般形式:

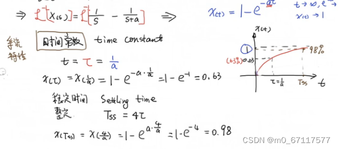
时间常数
时间常数: 指该物理量从最大值衰减到最小值的1/e所需要的时间。对于某一按指数规律衰变的量,其幅值衰变为1/e倍时所需的时间称为时间常数。

低通滤波器:
只反映低频率的变化,不反映高频率的变化

换角度分析单位阶跃响应
不同的斜率会产生不同的影响

非零初始条件下的传递函数
零初始条件

非零初始条件
传递函数反映的是系统对外部输入信号的响应特点,也就是说,如果把传递函数看成是个函数(映射),那么因变量就是响应输出,而自变量自然是且仅是外部输入了,初始状态作为可变量会影响输出,所以必须让它为零。

自动控制原理-卡路里


截图


版权声明:本文为m0_67117577原创文章,遵循CC 4.0 BY-SA版权协议,转载请附上原文出处链接和本声明。